新手指南 手机版 网站地图 NEWS自考

15755063059

自考咨询:08:30--21:30
您现在的位置:江苏自考网 > 考试大纲 >

江苏自考教材大纲:03618《采购项目管理》

发表时间:2018-12-05 09:37 来源:未知 作者:江苏自考网小编

03618采购项目管理

南京财经大学编(2016年)

关于教材:《采购项目管理》,北京中交协物流人力资源培训中心组织翻译,机械工业出版社,2008年版。
第1章  管理并领导项目
一、考试内容

(一)什么是项目
(二)项目管理的两个方面
(三)管理项目
二、考核要求
(一)什么是项目
识记:(1)项目的定义(2) 项目的特点
领会:(1)项目管理给组织带来什么
(二)项目管理的两个方面
识记:(1)硬性因素 (2)软性因素
(三)管理项目
识记:(1)项目管理能力与专业技能(2)领导与管理
领会:(1)领导与管理的区别
第2章  项目中的势力和影响
一、考试内容

(一)步于浪尖:项目环境的影响
(二)了解环境:简单的工具应对复杂的挑战
(三)利益相关者:定义、决定或影响项目成败的人
二、考核要求
(一)步于浪尖:项目环境的影响
识记:(1)外部因素(2)内部因素
(二)了解环境:简单的工具应对复杂的挑战
识记:(1)PESTLE分析(2)波特五力分析(3)利益相关者(4)铁三角(5)列温的力场分析法
领会:(1)不同环境分析工具的比较
(三)利益相关者:定义、决定或影响项目成败的人
识记:(1)判断利益相关者的影响(2)利益相关者矩阵
领会:(1)利益相关者的影响分析
第3章  项目管理的方法
一、考试内容

(一)输入和输出:转换模型
(二)多少?多大差异?用数量和品种来定义项目
(三)作为一个项目经理:在天堂还是在地狱
二、考核要求
(一)输入和输出:转换模型
识记:(1)转换模型(2)梅勒的项目模型
领会:(1)如何使用转换模型
(二)多少?多大差异?用数量和品种来定义项目
识记:(1)中心思想(2)斯拉克对项目的定义
领会:(1)项目与产品的数量与品种
(三)作为一个项目经理:在天堂还是在地狱
识记:(1)项目经理的角色与职责(2)项目经理的概念性技能和素质要求
第4章  项目生命周期
一、考试内容

(一)项目生命周期
(二)项目生命周期的价值:不同的观点
(三)项目生命周期总结
二、考核要求
(一)项目生命周期
识记:(1)项目生命周期(2)梅雷迪斯和曼特的项目生命周期
领会:(1)项目在不同生命周期阶段的主要工作
(二)项目生命周期的价值:不同的观点
识记:(1)弗雷真塔和科摩尼诺斯的生命周期阶段(2)梅勒的生命周期阶段
领会:(1)不同生命周期划分的异同
(三)项目生命周期总结
识记:(1)项目生命周期整合模型
领会:(1)不同阶段的中心、风险、问题
第5章  解决问题的技巧
一、考试内容

(一)五种解决问题的方法
(二)不同时间不同问题
(三)理解因果关系
二、考核要求
(一)五种解决问题的方法
识记:(1)五种方法的定义(2)五种方法的运用
领会:(1)五种方法的适用场合、不使用场合、辅助条件
(二)不同时间不同问题
识记:(1)项目中冲突类型(2)解决冲突的五种方法
领会:(1)五种解决冲突的方法的适用条件
(三)理解因果关系
识记:(1)因果图(2)决策树
领会:(1)决策树的应用
第6章  几种流行的项目管理方法
一、考试内容

(一)六西格玛:推动质量改进运动的项目
(二)PRINCE2
(三)关键链项目管理的基石
(四)突破?关键链
二、考核要求
(一)六西格玛:推动质量改进运动的项目
识记:(1)六西格玛及其基础(2)DMAIC循环
领会:(1)六西格玛项目环境
(二)PRINCE2
识记:(1)PRINCE2定义(2)PRINCE 2 的优点
领会:(1)PRINCE2的活动划分
(三)关键链项目管理的基石
识记:(1)时间预测的问题(2)资源规划的复杂性
领会:(1)时间预测的问题和原因
(四)突破?关键链
识记:(1)约束理论(TOC)(2)估算时间(3)关键链方法
第7章  为采购与物流项目选择最佳的方法
一、考试内容

(一)采购做什么:采购型项目分析
(二)正确的方法:别被踢开或扔掉
二、考核要求
(一)采购做什么:采购型项目分析
识记:(1)采购型项目分类
领会:(1)采购型项目归类需要考虑的主要特征
(二)正确的方法:别被踢开或扔掉
识记:(1)传统采购型项目(2)重复变化型项目(3)重大变革型项目
领会:(1)不同类型的采购项目的特点 (2)不同类型的采购项目采取的项目管理方法差异
第8章  项目分类:启动与定义
一、考试内容

(一)项目的定义与项目
(二)制定全面计划:整合
(三)制订详细的项目计划
(四)避免与解决纠纷
二、考核要求
(一)项目的定义与项目
识记:(1)项目的定义(2)项目计划的要素
(二)制定全面计划:整合
识记:(1)整合管理的四种类型(威尔雷特和克拉克)
领会:不同项目团队类型的优缺点比较
(三)制订详细的项目计划
识记:(1)工作分解结构(WBS,Wrok Breakdown Structure)(2)线性职责分配矩阵
领会:(1)工作分解结构的创建
(四)避免与解决纠纷
识记:(1)纠纷类型(2)在解决纠纷中避免诉讼
第9章  项目评价与风险管理
一、考试内容

(一)评估项目环境风险
二、考核要求
(一)评估项目环境风险
识记:(1)风险管理(2)风险控制/减轻应对策略(3)一些风险记录方案
领会:项目环境风险的评估、管理、控制
第10章 计划、进度安排和资源管理
一、考试内容

(一)项目进度安排技术
(二)甘特图、资源和不确定性
(三)合并工具:GERT
(四)用项目网络进行资源计划
二、考核要求
(一)项目进度安排技术
识记:(1)不同层次的进度计划(2)网络图(3)关键路径法(CPM)(4)AOA和AON
领会:(1)关键路径计算、完工时间估算 (2)浮动时间
(二)甘特图、资源和不确定性
识记:(1)甘特图(2)PERT:引入不确定性和复杂性
领会:(1)甘特图的应用 (2)乐观时间、悲观时间、最可能时间、期望时间、偏差
(三)合并工具:GERT
识记:(1)图形评审技术(GERT)
(四)用项目网络进行资源计划
识记:(1)用CPM压缩时间和成本(2)用网络进行资源分配、资源平衡、资源管理
领会:(1)赶工网络分析
第11章 成功实施的基础—组织项目
一、考试内容

(一)组织结构概览
(二)团队:成败的关键
(三)人:完美的组合
二、考核要求
(一)组织结构概览
识记:(1)组织结构的类型(2)项目的结构
领会:(1)不同组织结构类型的特点
(二)团队:成败的关键
识记:(1)土耳曼的Orming模型(2)梅勒六阶段团队生命周期模
领会:(1)生命周期各阶段项目的主要工作
(三)人:完美的组合
识记:(1)团队建设的问题(2)团队角色
领会:(1)如何将单独的个体凝聚成团队
第12章 实现你的目标:监督和控制
一、考试内容

(一)为什么要考核
(二)汇报的难点
(三)怎么考核,考核什么?
(四)不同的控制过程,不同的时间
二、考核要求
(一)为什么要考核
识记:(1)不考核的理由(2)从监督和汇报中获益
领会:(1)哪些人从监督和汇报中获益
(二)汇报的难点
识记:(1)汇报关系(2)考核与汇报的问题、难点
(三)怎么考核,考核什么?
识记:(1)硬指标考核:质量、时间、成本(2)软指标
领会:(1)时间与成本的结合:挣值
(四)不同的控制过程,不同的时间
识记:(1)控制过程(2)控制变更
领会:(1)掌握控制过程的不同类型和目的
第13章 收尾与评估:未来的经验
一、考试内容

(一)审计
(二)天下没有不散的宴席——项目终止
(三)评审应该是什么样子
二、考核要求
(一)审计
识记:(1)审计(2)审计的困难
(二)天下没有不散的宴席——项目终止
识记:(1)项目终止的原因(2)项目终止的细节
(三)评审应该是什么样子
识记:(1)如何开始(2)数据从何而来
领会:(1)评审的指标、标准
第14章 系统思维和关注流程
一、考试内容

(一)片面思维和系统思维,你的项目怎么样呢
(二)项目全部:工作分解结构
(三)串行还是并行项目
二、考核要求
(一)片面思维和系统思维,你的项目怎么样呢
识记:(1)片面思维(2)系统思维
领会:(1)片面思维和系统思维的关系
(二)项目全部:工作分解结构
识记:(1)工作分解结构(WBS)(2)创建WBS
领会:(1)黏性步骤
(三)串行还是并行项目
识记:(1)串行项目和并行项目(2)平衡风险
领会:(1)串行过程模型和并行过程模型的优点与不足
第15章 采购与物流项目的工具和技术
一、考试内容

(一)采购与物流项目的特点
(二)采购与其他职能部门的不同
(三)计算机有什么帮助
二、考核要求
(一)采购与物流项目的特点
识记:(1)对采购的期望值(2)采购与物流项目的典型特点
(二)采购与其他职能部门的不同
识记:(1)采购方面的区别
(三)计算机有什么帮助
识记:(1)Microsoft Project的作用(2)软件在采购项目管理中的应用
第16章 避免项目失败的“硬”因素
一、考试内容

(一)决战铁三角
(二)视情况而定:情境制宜法
(三)注定失败的过程
(四)走向成功的流程
二、考核要求
(一)决战铁三角
识记:(1)铁三角(2)赶工
领会:(1)赶工与关键路径与 PERT的关系
(二)视情况而定:情境制宜法
识记:(1)权变理论(Contingency theory)(2)情境制宜法
领会:(1)“铁三角”与情境制宜法的异同
(三)注定失败的过程
识记:(1)失败的基本原因和特定原因(2)采购和物流项目的失败因素
领会:(1)项目失败的方式
(四)走向成功的流程
识记:(1)项目的成功因素(2)三种不同类型的采购项目
领会:(1)不同类型的采购项目比较:关键与不太关键的方面
第17章 有助于项目成功的“软”因素
一、考试内容

(一)不要仅仅观望:管理你的团队动力学
(二)团队成就项目,而不是计划
二、考核要求
(一)不要仅仅观望:管理你的团队动力学
识记:(1)土克曼(Tuckman)四阶段模型
领会:(1)团队建设的几个阶段及每个阶段管理的关键
(二)团队成就项目,而不是计划
识记:(1)项目团队(2)项目团队与虚拟团队
领会:(1)项目中团队与一般团队的差异
第18章 有效组织、走向成功
一、考试内容

(一)最普遍的形式?职能型组织结构
(二)面对两个方向:矩阵结构
(三)注重项目:纯项目型组织
(四)一个结构,或是另一个或是混合的
二、考核要求
(一)最普遍的形式?职能型组织结构
识记:(1)职能型组织的优点(2)职能型组织的缺点
(二)面对两个方向:矩阵结构
识记:(1)职能型组织的优点(2)职能型组织的缺点
(三)注重项目:纯项目型组织
识记:(1)纯项目型组织的优点(2)纯项目型组织的缺点
(四)一个结构,或是另一个或是混合的
识记:(1)混合型组织的特点(2)决定混合型结构和矩阵结构是否合适的因素
领会:项目组织结构选择时需要考虑的几个重要因素
第19章 项目组织与管理的新范例
一、考试内容

(一)什么是成熟度
二、考核要求
(一)什么是成熟度
识记:(1)梅勒成熟度模型(2)科森纳的五层次模型(3)OPM3模型
领会:(1)三种成熟度模型的比较
第20章 学习型组织与成功的项目
一、考试内容

(一)哪些知识?哪些学习?挑战的本质
二、考核要求
(一)哪些知识?哪些学习?挑战的本质
识记:(1)知识管理(普华永道)(2)圣格对学习型组织的描述
领会:(1)知识管理的领域
附录 题型示例
一、单项选择题(每小题1分,共20分)
1.梅雷迪思和曼特认为所有的项目都有共同的“直接的”目标或目的,即(     )
A.质量、时间和成本   B. 绩效、时间和成本  
C.质量、成本和效率    D.质量、成本和收益     
(B)
二、名词解释(每小题3分,共15分)
1.项目管理(英国项目管理学会)
答:项目管理是一个过程,在这个过程里,项目被界定、计划、监督、控制和交付,以此来实现商定的成果。
三、简答题(每小题5分,共25分)
1.简述项目管理的目标
答:(1)管理变化的资源,如人和资金。(2)处理时间约束。(3)管理复杂情况和活动,保持与组织内外的人员、部门和利益相关者相互联系。(4)计划与管理新的活动,不要因为是新的活动,认为没有什么经验可得。(5)管理人们对变革的反应。
四、计算题(每小题10分,共10分)
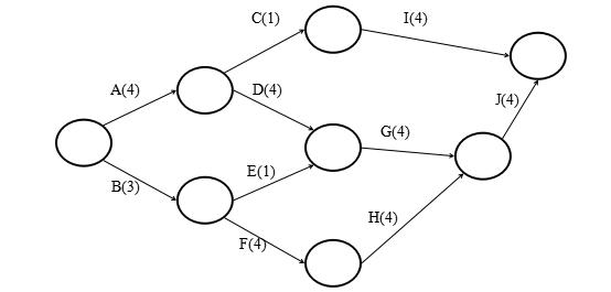
1.在一个小型建设项目开始的时候,准备图示的AOA网络图。每项活动字母后面的数字是一天为单位的工时。关键路径是哪条?我们应当最关注哪条路径?
在建设项目进展到第一周后,发现活动A用了2.5天,而活动B需要4.5天。这对项目有什么影响?关键活动仍然不变吗?

答案:(1)各条路径的时间:
ACI=9
ADGI=16
BEGI=12
BFHJ=15
关键路径是ADGI。我们需要对这条路径给予重点关注。 (5分)
(2)各条路径的时间变为:
ACI=7.5
ADGI=14.5
BEGI=10.5
BFHJ=16.5
关键路径变为BFHJ,项目时间延长为16.5天。 (5分)
五、论述题(每小题10分,共30分)
1.论述正在进行的项目中影响项目环境的五个外部因素,并各举一个例子加以说明。
答:(1)政治因素:政府政策
(2)经济因素:汇率变化、汇率、失业比率、收支平衡
(3)社会因素:发展趋势、工作年限、老龄化、高期望值
(4)技术因素:新信息与通讯技术、工作方式、通讯、工厂、机械设备
(5)法律因素:法律变更、行业法规
(6)环境因素:低碳和绿色要求、环保、可持续性
(答出以上任意五点即可,每点2分,其中列举和解释1分;恰当举例1分)


 

报名电话:15755063059

网上报名:点击进入江苏自考网上报名系统

温馨提示:如果关于"江苏省自学考试报名及考试"问题不是很了解,还有什么疑问,请及时联系咨询老师:15755063059或者咨询在线老师 。)

扫码关注江苏自考攻略网公众号

tag

APP下载